Generate DatasetGenerating a dataset of images of various shapes in Processing
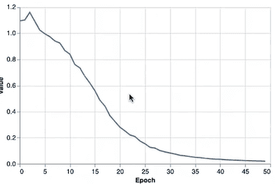
Train ModelTraining a model with ml5.js using the created dataset
Shape Classifier (Mouse)Demonstration of a shape classifier with shapes drawn on the canvas
Shape Classifier (Webcam)Demonstration of a shape classifier from webcam input
In this challenge, I demonstrate the entire process of training and deploying a machine learning classification model in JavaScript – data collection, model training, and prediction!
Processing is a flexible software sketchbook and a language for learning how to code within the context of the visual arts.
p5.js is a JavaScript library for creative coding, with a focus on making coding accessible and inclusive for artists, designers, educators, and beginners.
Reference for loading a pre trained model.
Reference for the p5.js copy() function.
A series of experiments about Doodle Classifier(a Convolutional Neural Network) using tensorflow.js and tensorflow.
The series covers the tools that Dan Shiffman uses in his workflow.
This video implements a CNN for image classification.
This video trains a neural network with pixels.
This video covers how to train a neural network machine learning model with real-time interactive data in ml5.js.
This video covers the architecture of a Convolutional Neural Network, focusing on the concept of 'filters'
This video shows how to save a save a model that has been trained in ml5.js.
- Editing
by Mathieu Blanchette
- Animations
by Jason Heglund